Phosphite fungicide treatment
In modern agriculture age, new fertilizers, pesticides, and other agro products are being manufactured with use of Phosphorous Acid – H3PO3 (instead of phosphoric acid), phosphite (instead of phosphate), and phosphonite or phosphonate. Major difference between Phosphoric acid and phosphorous acid is Phosphoric Acid is used as plant nutrient and the Phosphorous acid (H3PO3) is primarily used as fungicide applications. In simple words phosphates can use as fertilizer but will have no effect on plant diseases and on the other hand, phosphites are useful in managing Plant Diseases.
However, Phosphorus Acid cannot be used directly as a nutrient material. Hence they are generally supplied to plants in neutralized state. When Phosphorous acid (H3PO3) is neutralized with Potassium hydroxide (KOH), it forms the salt of phosphorous acid – Potassium Phosphite (KH2PO3), also known as phosphite or phosphonate. Potassium Phosphite are available commercially, because it is slightly unstable – phosphite tends to react and to do things, therefore it is highly recommended to consume upon opening or storage in air tight container.

Phosphite salts can be used as a biodegradable fungicide to protect plants against Phytophthora dieback.
Phosphite (亚磷酸) works by boosting the plant’s own natural defences and thereby allowing susceptible plants to survive within Phytophthora dieback infested sites. It is important to note that there is no treatment that will eradicate Phytophthora dieback, including phosphite. However, an integrated approach can successfully control the spread and impact of the disease. An integrated approach may combine strategic phosphite treatment, fumigants, controlling access, correcting drainage problems, removal of host plants and implementing excellent hygiene protocols.
Phosphite (Phi) is excellent fungicides for controlling many important plant diseases caused by Oomycetes, particularly Phytophthora sp. The oomycetes, also known as “water molds”, are a group of several hundred organisms that include some of the most devastating plant pathogens. Four major plant diseases caused by Oomycetes ..
- Phytophthora
- Pythium (Damping-off)
- Downy mildews
- Albugo ( White rust)
Phosphite is not toxic to people or animals and its toxicity has been compared to table salt. There is a very low pollution risk associated with phosphite. When phosphite is sprayed on to the foliage of plants, it is applied at a very low rate, so any phosphite that reaches the soil is bound to the soil and does not reach the water table.
Phosphite needs to enter a plant’s water transport system in order for it to be effective. This can be done by injecting phosphite into trees, or spraying the leaves of understorey plants. Phosphite not only protects a plant from Phytophthora dieback infection, it can also help a plant to recover if it is already infected. Even so, the use of Phosphite to control Phytophthora disease is more effective when applied preventatively, rather than curatively.
Phosphite (PO3) molecules, which move systemically via the phloem and xylem to the leaves and roots. This means that an entire plant receives many benefits of the phosphite molecule. With phosphite, a plant’s natural defense mechanisms are heightened so that diseases are more easily repelled. Phosphite encourages the nucleus of a plant cell to produce defensive molecules such as phytoalexin, which attacks the disease directly. The production of polysaccharides strengthens the cell wall adding additional protection. The cells also send “alarm signals” to cells that have not yet been attacked.
There are dozens of commercial products available in the market, to name a few…




The content of product in the market is rather confusing to consumers, however they are same kind of fungicide to combat Phytophthora, reason being partly due to marketing strategic.
Further readings …
1. Understanding the phosphonate products
2. Neutralized Phosphorous Acid to Control Phytophthora Diseases
3. Phosphorous Acid For Controlling Downy Mildew
6. Fosfit dalam pengendalian busuk pangkal batang pada tanaman lada
7. Fosfit terhadap Perkembangan Penyakit dan Produksi Tomat
How to prepare Neutralized Phosphorous Acid
1. Prepare the required amount of water
2. Add Phosphorus acid to the water and stir evenly.
3. From the solution that has been mixed with phosphorus acid …
4. Add Potassium hydroxide into that solution and stir evenly.
Note : NEVER add Phosphorous acid and Potassium Hydroxide together at the same time, drastic chemical reaction will put you into trouble.
Appropriate dosage of NPA by laboratory test …
Potassium Phosphite by gaharujinkou
Some species of trees may exhibit sensitivity, it is therefore recommended that tolerance of trees be confirmed, before the orchard is treated as a whole.
- For high rise trees application, trunk injection by Mini pump is recommended, minimizing wastage.
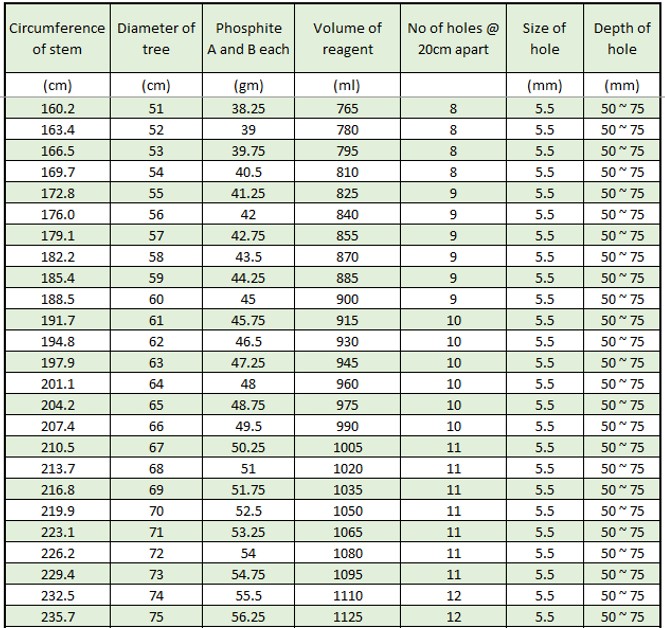
Trunk injection … Dosage Vs sizes of tree
A rule of thumbs … apply
3ml/ cm (circumference of stem) for circumference lessor than 31.4cm
5ml/ cm (circumference of stem) for circumference greater than 31.4cm




Phosphite is a Systemic Fungicide a member of the Multi-site Activity group of fungicides.
- direct inhibition of the pathogen
- enhanced host defence responses
For fungicide resistance management, the product is a Group 33 fungicide. The low toxicity of the active ingredients (MONO and DI POTASSIUM PHOSPHITE) in phosphorous acid products give them a 0-day preharvest interval.
Phosphite application in Taiwan is very common, it resembles to selling “Roti Canai” in Malaysia, watch following video in 台语 …
However, adjusting the pH value is not easy for ordinary farmers. Therefore, manufacturers usually prepare phosphorous acid into a solution, adjusting the pH value, and sell it in a closed container. However, because Phosphite is slightly unstable (PO3) hence it tends to react with oxygen and light, which reduces the disease prevention effect. Therefore, this video has the recommendation … DIY Vs ready-mixed products, as the lay man asks, which one is better ?
How to use phosphorous acid + potassium hydroxide …
COMPATIBILITY
Compatible with Mancozeb, Copper Oxychloride, Triadimefon, Propiconazole, and most common powdery mildew fungicides. Most foliage nutrients are also compatible. When using in conjunction with ‘EC’s’ always form emulsion with water prior to adding Phosphite solution.
Phosphite is compatible with most pesticides and can applied in existing spray programs. When using a chemical mixture that has not been used before, always try a small sample rate before application, or check compatibility by doing a jar test.
You may need a portable weighing scale …

Digital scale : MYR25 / pc
Packing of product …



















